【导读】有同学在找2024年昆明文理学院专升本招生专业及对应专科专业,昆明文理学院专升本网已经准备好了相关内容,一起看看吧!

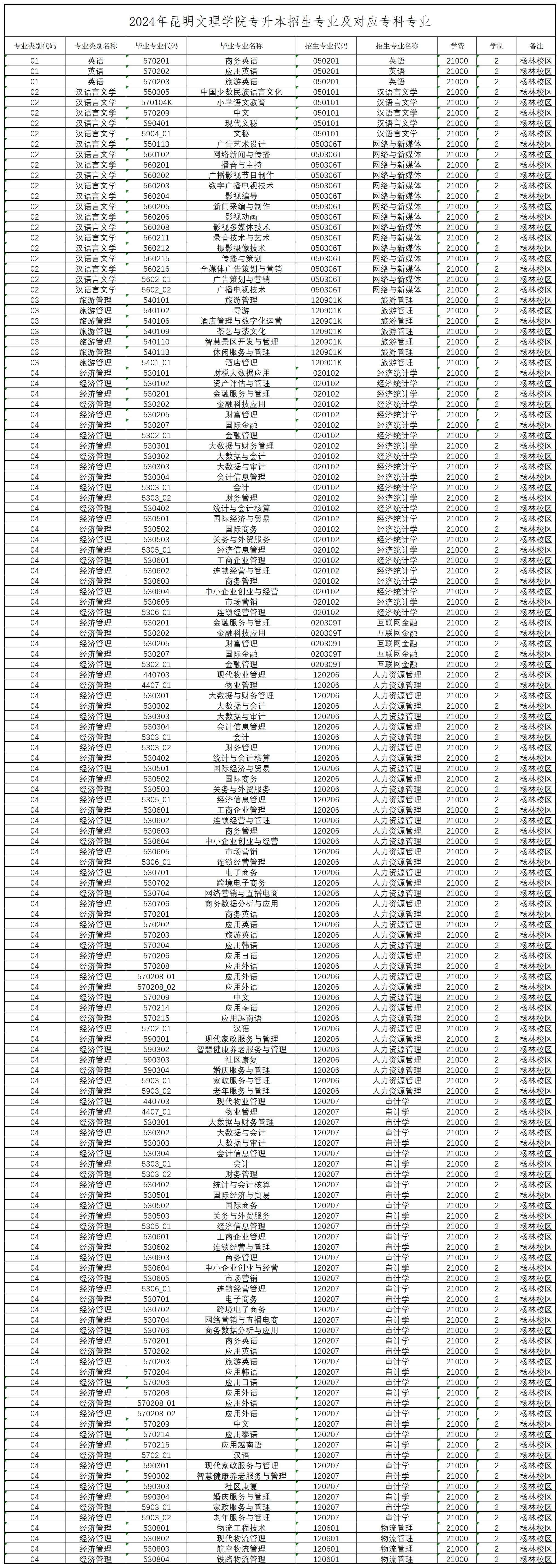
2024年昆明文理学院专升本招生专业及对应专科专业


展开全文
—— 没找你想要的专升本资讯?预约免费咨询 ——
你的姓名
*联系方式
就读年级
就读专业
立即预约
长按图片识别二维码
加入2024年云南专升本考生交流群
↓ ↓ ↓

2024年昆明文理学院专升本招生专业及对应专科专业的相关内容到这里就结束了,有其他问题的同学,可以长按扫码上方二维码,进群资讯专业老师,更多资讯可以进入云南专升本网(http://www.ynwls.com/)查询!

云南专升本声明
(一)由于考试政策等各方面情况的不断调整与变化,本网站所提供的考试信息仅供参考,请以权威部门公布的正式信息为准。
(二)本网站在文章内容来源出处标注为其他平台的稿件均为转载稿,免费转载出于非商业性学习目的,版权归原作者所有。如您对内容、版权等问题存在异议请于我们联系,我们会及时处理。
文章来源于网络,如有侵权,请联系删除

新手指南
报名条件
报名时间
疑问解答
成考咨询
自考咨询



